English 中文
地  址:
天津经济技术开发区第四大街80号天大科技园C6楼301-304室  
电  话:
022-65378550
传  真:
022-25329655
Email:
QQ:
微信:
Alta-Scientific
包装规格
Size
价格 (元)
Price (¥)
库存信息
Availability
品牌
Brand
NA NA NA NA
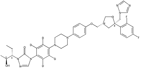
产品号/Catalog#
 1ST156847D4
CAS#:
 1133712-26-1
MDL#:
 NA
产品名称:
 泊沙康唑-D4
Product Name:
 Posaconazole-d4
缩写/Symbol:
 NA
分子式/Formula:
 C37H38D4F2N8O4
分子量/MW:
 704.80
形态/Form:
 NA
颜色/Color:
 NA
纯度/Purity (%):
 98+%
浓度/Concentration:
 NA
熔点/mp (°C):
 NA
沸点/bp (°C):
 NA
闪点/fp (°C):
 NA
比重/Density(g/ml):
 NA
储藏条件/Storage:
 -20°C±5°C,N2
运输条件/Transportation:
 NA
中文同义名:
 NA
Synonyms:
 NA
附加信息
Additional Information:
 NA
MSDS
产品质量规格书 Specification


联系我们

邮箱:sales@altasci.com.cn

电话:022-65378550

全国免费客服电话:400-6688-671

技术支持电话:400-6666-027

QQ:2850791070/2850791074

技术支持QQ:2850791072

电子期刊

输入您的邮箱,获取阿尔塔最新资讯、新产品推荐,市场活动等动态
天津阿尔塔科技有限公司
© 2019 Altascientific 保留所有权利
营业执照 危险化学品经营许可证 声明

津ICP备11007345号

ALTA销售:2850791070
ALTA销售:3002301601
ALTA技术:2850791072